ಪಿಯೂಷ್ ಗೋಯಲ್ ಅವರು ಬಜೆಟ್ ಂಡನೆ ಸಂದರ್ಭದಲ್ಲಿ ಪ್ರಧಾನ ಮಂತ್ರಿ ಶ್ರಮಯೋಗಿ ಮಾನ್ಧನ್ ಪಿಂಚಣಿ ಯೋಜನೆ (PMSYM) ಪರಿಚಯಿಸಿದ್ದರು. ಈ ಯೋಜನೆ ಫೆಬ್ರವರಿ 15ರಿಂದ ಶುರುವಾಗಲಿದ್ದು, ಸುಮಾರು ಶೇಕಡಾ 8ರಷ್ಟು ಬಡ್ಡಿ ಸಿಗುವ ಸಾಧ್ಯತೆಯಿದೆ.
ಪಿಯೂಷ್ ಗೋಯಲ್ ಅವರು ಬಜೆಟ್ ಂಡನೆ ಸಂದರ್ಭದಲ್ಲಿ ಪ್ರಧಾನ ಮಂತ್ರಿ ಶ್ರಮಯೋಗಿ ಮಾನ್ಧನ್ ಪಿಂಚಣಿ ಯೋಜನೆ (PMSYM) ಪರಿಚಯಿಸಿದ್ದರು. ಈ ಯೋಜನೆ ಫೆಬ್ರವರಿ 15ರಿಂದ ಶುರುವಾಗಲಿದ್ದು, ಸುಮಾರು ಶೇಕಡಾ 8ರಷ್ಟು ಬಡ್ಡಿ ಸಿಗುವ ಸಾಧ್ಯತೆಯಿದೆ. ಮುಂದಿನ 5 ವರ್ಷಗಳಲ್ಲಿ 10 ಕೋಟಿ ಕಾರ್ಮಿಕರಿಗೆ ಪ್ರಧಾನ ಮಂತ್ರಿ ಶ್ರಮಯೋಗಿ ಮಾನ್ಧನ್ ಪಿಂಚಣಿಯ ಪ್ರಯೋಜನ ಸಿಗಲಿದೆ ಎಂದು ಹಂಗಾಮಿ ಹಣಕಾಸು ಸಚಿವ ಪಿಯೂಷ್ ಗೋಯಲ್ ತಿಳಿಸಿದ್ದಾರೆ. ಮಾತೃಶ್ರೀ ಯೋಜನೆ: ರೂ. 12 ಸಾವಿರ ಸಹಾಯಧನ ಪಡೆಯಲು ಅರ್ಜಿ ಸಲ್ಲಿಸುವುದು ಹೇಗೆ?
ಅಸಂಘಟಿತ ವಲಯದ ಕಾರ್ಮಿಕರು
ಪ್ರಧಾನ ಮಂತ್ರಿ ಶ್ರಮಯೋಗಿ ಮಾನ್ಧನ್ ಪಿಂಚಣಿ ಯೋಜನೆ ಅಸಂಘಟಿತ ವಲಯದ ಕಾರ್ಮಿಕರಿಗಾಗಿ ಜಾರಿಗೆ ಬರುತ್ತಿದೆ. ಸಂಘಟಿತ ವಲಯದ ಪಿಂಚಣಿ ಯೋಜನೆ ಬಡ್ಡಿ ದರ ಶೇ. 8.5 ರಷ್ಟಿದ್ದು, ಪ್ರಧಾನ ಮಂತ್ರಿ ಶ್ರಮಯೋಗಿ ಮಾನ್ಧನ್ ಯೋಜನೆ ಪಿಂಚಣಿಯ ಬಡ್ಡಿ ದರವನ್ನು ಹೆಚ್ಚು ಕಡಿಮೆ ಅಷ್ಟೇ ನಿಗದಿ ಪಡಿಸುವ ಸಾಧ್ಯತೆಯಿದೆ. ಮುಖ್ಯಮಂತ್ರಿ 1 ಲಕ್ಷ ವಸತಿ ಯೋಜನೆಗೆ ಅರ್ಜಿ ಸಲ್ಲಿಕೆ ಹಾಗು ಸ್ಟೇಟಸ್ ಚೆಕ್ ಮಾಡೋದು ಹೇಗೆ?
ಯೋಜನೆಗೆ ಯಾರು ಅರ್ಹರು?
- ತಿಂಗಳಿಗೆ ರೂ. 15,000ವರೆಗೆ ಗಳಿಸುವ ಅಸಂಘಟಿತ ವಲಯದ ಕಾರ್ಮಿಕರು
- 18 ಮತ್ತು 40 ವರ್ಷ ವಯಸ್ಸಿನ ಉದ್ಯೋಗಿಗಳು
- 60 ವರ್ಷ ವಯಸ್ಸಿನ ನಂತರ 3,000 ರೂ. ಮಾಸಿಕ ಪಿಂಚಣಿ ಪಡೆಯುತ್ತಾರೆ
- ಮಾಸಿಕ ಕೊಡುಗೆ ಮೊತ್ತವನ್ನು ವಯಸ್ಸಿನ ಆಧಾರದ ಮೇಲೆ 60 ವಯಸ್ಸಿನವರೆಗೆ ಪಾವತಿಸಬೇಕು.
- ಗೃಹಾಧಾರಿತ ಕಾರ್ಮಿಕರು, ಬೀದಿ ಮಾರಾಟಗಾರರು, ಮಿಡ್ ಡೇ ಮೀಲ್ ಕಾರ್ಮಿಕರು, ಹೆಡ್ ಲೋಡರ್, ಇಟ್ಟಿಗೆ ಕೆಲಸಗಾರರು, ಚಮ್ಮಾರರು,ಸ್ಥಳೀಯ ಕಾರ್ಮಿಕರು, ಬಟ್ಟೆ ತೊಳೆಯುವವರು, ರಿಕ್ಷಾ, ಭೂಮಿರಹಿತ ಕಾರ್ಮಿಕರು, ಕೃಷಿ ಕಾರ್ಮಿಕರು, ಕಟ್ಟಡ ನಿರ್ಮಾಣ ಕಾರ್ಮಿಕರು, ಬೀಡಿ ಕಾರ್ಮಿಕರು, ಕೈಮಗ್ಗ ಕಾರ್ಮಿಕರು, ಚರ್ಮದ ಕೆಲಸಗಾರರು, ಆಡಿಯೋ-ದೃಶ್ಯ ಕೆಲಸಗಾರರು ಮತ್ತು ಇದೇ ರೀತಿಯ ಇತರ ತೊಡಗಿರುವ ಅಸಂಘಟಿತ ಕಾರ್ಮಿಕರು. ಪಿಎಂ ಕಿಸಾನ್ ಯೋಜನೆ: ರೈತರು 6 ಸಾವಿರ ಸಹಾಯಧನ ಪಡೆಯುವುದು ಹೇಗೆ?
ಎಲ್ಐಸಿ ಮೂಲಕ ನಿರ್ವಹಣೆ
ಪ್ರಧಾನ ಮಂತ್ರಿ ಶ್ರಮಯೋಗಿ ಮಾನ್ಧನ್ ಯೋಜನೆಯನ್ನು ಲೈಫ್ ಇನ್ಶೂರೆನ್ಸ್ ಕಾರ್ಪೊರೇಷನ್ ಆಫ್ ಇಂಡಿಯಾ (ಎಲ್ಐಸಿ) ಮೂಲಕ ಜಾರಿಗೆ ತರಲಾಗುತ್ತಿದೆ. ಐಆರ್ಡಿಎಐ ಈವರೆಗೂ ಮೊದಲ ವರ್ಷದ ಬಡ್ಡಿ ದರದ ಬಗ್ಗೆ ಅಧಿಕೃತ ಘೋಷಣೆ ಮಾಡಿಲ್ಲ.
ಬಡ್ಡಿದರ ಹೆಚ್ಚಳ ಸಾಧ್ಯತೆ
ಪ್ರಸ್ತುತ ಅಟಲ್ ಪಿಂಚಣಿ ಯೋಜನೆ ಬಡ್ಡಿ ದರ ಶೇ. 7.5ರಷ್ಟಿದೆ. ಅಸಂಘಟಿತ ವಲಯದ ಕಾರ್ಮಿಕರನ್ನು ಆಕರ್ಷಿಸಲು ಬಡ್ಡಿದರವನ್ನು ಸಂಘಟಿತ ಯೋಜನೆ ಬಡ್ಡಿ ದರದ ಆಸುಪಾಸು ಹೆಚ್ಚುಕಡಿಮೆ ಶೇ. 8ರಷ್ಟು ಬಡ್ಡಿದರ ನಿಗದಿಪಡಿಸುವ ಸಾಧ್ಯತೆಯಿದೆ. ಬಡ್ಡಿದರ ಹೆಚ್ಚಿದ್ದರೆ ಜನರು ಈ ಯೋಜನೆಗೆ ಆಕರ್ಷಿತರಾಗುತ್ತಾರೆ ಎನ್ನಲಾಗಿದೆ.
3,000 ಮಾಸಿಕ ಪಿಂಚಣಿ
ಪ್ರಧಾನ ಮಂತ್ರಿ ಶ್ರಮಯೋಗಿ ಮಾನ್ಧನ್ ಯೋಜನೆ (PMSYM)ಯಲ್ಲಿ ಒಬ್ಬ ವ್ಯಕ್ತಿಯು 60 ವರ್ಷ ವಯಸ್ಸಿನ ನಂತರ ಪ್ರತಿ ತಿಂಗಳು ರೂ. 3,000 ಮಾಸಿಕ ಪಿಂಚಣಿ ನೀಡಲಾಗುತ್ತದೆ. ಖಾತೆಗೆ ಪಿಂಚಣಿದಾರರು ಪಾವತಿಸುವಷ್ಟೇ ಮೊತ್ತವನ್ನು ಸರ್ಕಾರವೂ ಪಾವತಿಸಲಿದೆ.
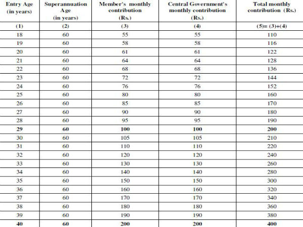
ವಯಸ್ಸು ಆಧಾರಿತ ಪಿಂಚಣಿ
ನಾವು ನಿಜವಾದ ಜೀವನ ಮಾದರಿಯ ಮೂಲಕ ನೋಡೋಣ. ಅಧಿಸೂಚನೆಯ ಪ್ರಕಾರ, 30 ರ ವಯಸ್ಸಿನವರು ತಿಂಗಳಿಗೆ 105 ರೂಪಾಯಿ 60 ರ ವರೆಗೆ ಪಾವತಿಸಬೇಕಾಗುತ್ತದೆ. ಒಟ್ಟಾರೆಯಾಗಿ, ವ್ಯಕ್ತಿಯು ರೂ. 37,800 (105x12=1260, 1260x30=37,800) ಹಣ ಪಾವತಿಸಿದರೆ ಅಷ್ಟೇ ಮೊತ್ತವನ್ನು ಸರ್ಕಾರ ಭರಿಸಲಿದೆ. ಅಸಂಘಟಿತ ವಲಯದ ಕಾರ್ಮಿಕರು ತಮ್ಮ ನೆರೆಹೊರೆಯಲ್ಲಿ ಈ ಯೋಜನೆಯನ್ನು ಲಾಭ ಪಡೆಯಲು ಮಾಹಿತಿ ನೀಡಬಹುದು.
ಇಪಿಎಫ್ ಯೋಜನೆ
ಈ ಯೋಜನೆಯು ಸಂಘಟಿತ ವಲಯಕ್ಕೆ ಸಂಬಂಧಿಸಿದ ಇಪಿಎಫ್ ಯೋಜನೆಯನ್ನು ರೂಪಿಸಿದೆ. ಇದರಲ್ಲಿ, ಉದ್ಯೋಗಿ ತನ್ನ ಮೂಲ ಸಂಬಳದ 12 ಪ್ರತಿಶತವನ್ನು ಕೊಡುಗೆ ನೀಡಬೇಕು. ಅಷ್ಟೇ ಮೊತ್ತವನ್ನು ತನ್ನ ಉದ್ಯೋಗದಾತರಿಂದ ಇಪಿಎಫ್ ನಲ್ಲಿ ಸಂಗ್ರಹಿಸಲಾಗುತ್ತದೆ.
ಸೂಕ್ತ ಮಾಹಿತಿ ನೀಡಿ
18 ರಿಂದ 40 ವರ್ಷ ವಯಸ್ಸಿನ ಕಾರ್ಮಿಕರು ಈ ಯೋಜನೆ ಲಾಭ ಪಡೆಯಲಿದ್ದಾರೆ. ವಯಸ್ಸಿನ ಆಧಾರದ ಮೇಲೆ ಮಾಸಿಕ ಹಣ ನಿಗದಿಯಾಗಲಿದೆ. ಬಡವರಿಗೆ, ಈ ಯೋಜನೆ ವ್ಯಾಪ್ತಿಗೆ ಬರುವವರಿಗೆ ಸೂಕ್ತ ಮಾಹಿತಿ ನೀಡುವ ಅಗತ್ಯವಿದೆ ಎಂದು ಅಧಿಕಾರಿಗಳು ತಿಳಿಸಿದ್ದಾರೆ. ಅಸಂಘಟಿತ ವಲಯದ ಕಾರ್ಮಿಕರು ತಮ್ಮ ನೆರೆಹೊರೆಯಲ್ಲಿ ಈ ಯೋಜನೆಯನ್ನು ಲಾಭ ಪಡೆಯಲು ಮಾಹಿತಿ ನೀಡಬಹುದು.


Click it and Unblock the Notifications